✨10 Trọng Điểm Luyện Thi THPT Quốc Gia Môn Toán _KV
Mua tại Shopee
Mua tại Tiki
Mua tại Lazada
Mua tại Tiktok10 Trọng Điểm Luyện Thi THPT Quốc Gia Môn Toán là một trong những cuốn mới nhất của thạc sĩ Lê Hoành Phò được biên soạn theo cấu trúc mới nhất, bám sát đề thi Đại Học - Cao Đẳng 2016 do phát hành. Quyển sách là kim chỉ nang các bí kíp giải bài tập Toán với những phương pháp cho các em rèn luyện trí tư duy và vận dụng lưu loát kỹ năng làm bài theo phương châm Nhanh, Chuẩn xác, tuyệt đối. Quyển sách gồm 10 trọng điểm tương ứng với 10 điểm tuyệt đối của bài thi môn Toán:
- Khảo sát hàm số
- Phương trình lượng giác
- Phương trình, hệ phương trình
- Nguyên hàm, tích phân
- Hình Học không gian
- Bất đẳng thức
- Tọa độ phẳng
- Tọa độ không gian
- Tổ hợp, chỉnh hợp, nhị thức Newton
- Số phức
10 Trọng Điểm Luyện Thi THPT Quốc Gia Môn Toán còn có thêm các đề tổng hợp từ các kỳ thi THPT năm 2015 và một số năm trước,đề thi thử của một số tỉnh thành, các trường chuyên và kì thi học sinh giỏi luyện thi để các em vận dụng.
Mua tại Shopee
Mua tại Tiki
Mua tại Lazada
Mua tại TiktokGiáo trình Hoá học Vô cơ này đã được viết và giảng dạy từ những năm 50 của thế kỷ trước cho sinh viên khoa Hoa học trường Đại học Tổng hợp Hà Nội trước
1 Dẫn Chứng Nghị Luận Xã Hội NỘI DUNG SÁCH 1. Gồm thông tin cung cấp 365 dẫn chứng bao trọn mọi lĩnh vực, dễ dàng vận dụng vào bài viết, đa dạng và
Kỹ năng viết bài văn nghị luận xã hội Kể từ năm 20222-2023, chúng ta đã chính thức áp dụng bộ sách giáo khoa mới vào chương trình dạy học các cấp. Việc tiếp cận
Giáo trình Hoá học Vô cơ này đã được viết và giảng dạy từ những năm 50 của thế kỷ trước cho sinh viên khoa Hoá học trường Đại học Tổng hợp Hà Nội trước
[ TSA 2025 ] Sách Đánh giá tư duy Bách Khoa HN Tổng ôn phần tư duy khoa học - môn Sinh Học - Hệ thống kiến thức đầy đủ theo chương trình Sách giáo
“Đầu tư”, tuy gói gọn trong hai từ nhưng đó là câu chuyện kéo dài cả một đời người. Cùng với sự phát triển mạnh mẽ của thị trường chứng khoán Việt Nam thể hiện
Làm văn là một phần quan trọng trong môn học Ngữ Văn , làm văn có tính chất quyết định đánh giá kết quả học tập môn Ngữ Văn . Cuốn sách được biên soạn
Sách Tổng Ôn Vật Lí Tập 1 - Dành cho 2K7 1. Nội dung sách: Sách được viết dựa trên chương trình SGK mới với hơn 2000 câu hỏi bài tập 2. Đối tượng sử
Sinh học lớp 12 chương trình mới: Combo Tổng ôn sinh học ôn thi thpt quốc gia đgnl Moonbook - Hệ thống kiến thức và video bài giảng theo chương trình sách giáo khoa mới
Đỉnh cao của lãnh đạo là lãnh đạo chính bản thân mình", đây là quan điểm được TS Tô Nhật đúc rút. Cuốn sách được tác giả chia làm 2 phần, phần 1: Rèn luyện
OKRs – bí mật của tăng trưởng lấy trọng tâm là phương pháp OKRs (Mục tiêu – Kết quả then chốt) và truyền tải sinh động phương pháp thực hiện cũng như tình huống áp
Giải Mã Ngành Công Nghiệp Âm Nhạc ------------ Bạn có biết rằng: - Phần lớn các thỏa thuận thậm chí không yêu cầu công ty thu âm thực hiện một bản ghi âm, huống
Giải Mã Ngành Công Nghiệp Âm Nhạc ------------ Bạn có biết rằng: - Phần lớn các thỏa thuận thậm chí không yêu cầu công ty thu âm thực hiện một bản ghi âm, huống
Trí tuệ Do Thái là một cuốn sách tư duy đầy tham vọng trong việc nâng cao khả năng tự học tập, ghi nhớ và phân tích - những điều đã khiến người Do Thái
Chiến Thuật Giải Đề Đạt Điểm 10 Môn Tiếng Anh Kì Thi Trung Học Phổ Thông Quốc Gia Chiến thuật giải đề đạt điểm 10 môn tiếng Anh – Kì thi THPT QG là cuốn sách
Sách P.H.A.O Lịch sử Ôn luyện thi tốt nghiệp THPT, ĐGNL Biến việc học thành một cuộc phiêu lưu thú vị Bạn đang tìm kiếm một giải pháp nhớ nhanh lí thuyết, giúp bạn
- Bộ sách do đội ngũ tác giả bao gồm các chuyên gia, giảng viên Đại học, giáo viên THPT Chuyên – những người có kinh nghiệm, hiểu biết về kì thi và đã trực
Câu Hỏi Trắc Nghiệm Chuyên Đề Điền Từ Vào Đoạn Văn Tiếng Anh Cuốn sách Câu Hỏi Trắc Nghiệm Chuyên Đề Điền Từ Vào Đoạn Văn Tiếng Anh mang đến cho quý thầy cô giáo
MÔ TẢ SẢN PHẨM 1 Nội Dung : Ngôn ngữ là một trong những công cụ quan trọng giúp chúng ta giao tiếp. Và ngôn ngữ nào cũng vậy, từ ngữ, ý tứ, cùng với
SÁCH ĐỘT PHÁ TƯ DUY KÌ THI TỐT NGHIỆP THPT MÔN ĐỊA LÍ Theo cấu trúc định hướng thi mới năm 2025 của BGD Với cấu trúc đề thi mới, các dạng câu hỏi mới
Sách lý thuyết trọng tâm ôn thi THPT luyện thi đánh giá năng lực môn vật lý - Moonbook 1. Nội Dung : Trọng tâm lí thuyết tốt nghiệp phổ thông môn Vật lí”. Đúng
Nội dung gồm có: Phần thứ nhất: Câu hỏi và bài tập Chương 1: Đại cương hoá học hữu cơ Chương 2: Hidrocacbon no Chương 3: Hidrocacbon không no Chương 4: Hidrocacbon Thơm Chương 5:
Sách - Nâng cao Văn phong Nghị luận xã hội - Cô Trần Thùy Dương Tác giả Trần Thùy Dương Nhà xuất bản NXB Đại Học Quốc Gia Hà Nội Đơn vị phát hành NXB
Sách - Rèn kỹ năng xử lí và Chuyên sâu luyện đề môn Ngữ văn (Thi tốt nghiệp THPT chương trình GDPT 2018) Tác giả Trần Thùy Dương Nhà xuất bản NXB Đại Học Quốc
️ NỘI DUNG Cuốn sách được chia thành 3 phần: – Phần 1: giới thiệu chung về collocations và idioms, cũng như hệ thống một sốcollocations và idioms thường gặp. – Phần 2: hướng dẫn
Combo 2 cuốn Tổng Ôn Sinh Học Lớp 12 - Dành cho 2K7 1. Nội dung sách: + Nội dung bám sát chương trình GDPT năm 2018 dùng chung cho tất cả các bộ sách
Tổng Ôn Hoá Học Lớp 12 Tập 1 - Dành cho 2K7 1. Nội dung sách: Sách được viết dựa trên chương trình SGK mới với hơn 2000 câu hỏi bài tập 2. Đối tượng
I. Dẫn Chứng Nghị Luận Xã Hội : Nội dung sách Một bài văn Nghị luận xã hội nếu thiếu dẫn chứng thì mọi lý lẽ các bạn đưa ra đều trở nên vô nghĩa,
Tổng Ôn Hoá Học Lớp 12 Tập 1 - Dành cho 2K7 1. Nội dung sách: Sách được viết dựa trên chương trình SGK mới với hơn 2000 câu hỏi bài tập 2. Đối tượng
- Bộ sách do đội ngũ tác giả bao gồm các chuyên gia, giảng viên Đại học, giáo viên THPT Chuyên – những người có kinh nghiệm, hiểu biết về kì thi và đã trực
1. Tổng Ôn Toán Học - Tập 1 (Theo Chương Trình SGK Mới) - Hệ thống kiến thức và video bài giảng theo chương trình sách giáo khoa mới - Đầy đủ các dạng
Vật lý 12 Chương trình SGK mới: Tổng ôn vật lý ôn thi thpt quốc gia 2025, đánh giá năng lực Moonbook - Hệ thống kiến thức đầy đủ theo chương trình SGK mới -
Hoá học 12 Chương trình mới : Tổng ôn hoá học ôn thi thpt quốc gia 2026, dánh giá năng lực Moonbook - Hệ thống kiến thức và video bài giảng theo chương trình
Sách Bộ đề đánh giá năng lực Tiếng anh, ôn thi ĐGNL Hà Nội, HCM, Sư phạm HN 2025 - Moonbook Nội Dung : Kì thi Đánh giá Năng lực (ĐGNL) do các trường đại
P.H.A.O Ngữ Văn – Ôn luyện thi tốt nghiệp THPT, ĐGNL Biến việc học Ngữ văn thành một hành trình khám phá sắc màu cảm xúc và tư duy Bạn đang tìm kiếm một cuốn
Bộ 2 cuốn sách P.H.A.O Lịch sử Ôn luyện thi tốt nghiệp THPT, ĐGNL và Đột phá tư duy kì thi tốt nghiệp THPT môn Lịch sử Biến việc học thành một cuộc phiêu lưu
Sách Tổng ôn ngữ pháp Tiếng anh Cô Trang Anh là cuốn sách: - Đầy đủ nhất với 30 chuyên đề ngữ pháp Tiếng anh thông dụng nhất. - Dày 605 trang gần 7000 bài
Sách Tổng ôn từ vựng tiếng anh cô Trang Anh Moonbook 1. Nội Dung : Xét thấy theo chương trình sách giáo khoa mới với form đề thi mới đặc biệt chú trọng vào từ
Sách - Dẫn Chứng Nghị Luận Xã Hội (Cô Trần Thùy Dương) - Tác giả: Cô Trần Thùy Dương - Nhà xuất bản: NXB Đại Học Quốc Gia Hà Nội - Số Trang: 780 trang
MÔ TẢ SẢN PHẨM CAM KẾT VÀ BẢO HÀNH - Đảm bảo và cam kết sản phẩm đúng với mô tả và hình ảnh của shop. - Đổi trả sản phẩm miễn phí trong vòng
Sách - Luyện xử lý đề Bài văn nghị luận xã hội - Tập 1 (Cô Trần Thùy Dương) Tác giả: Trần Thùy Dương Nhà xuất bản: NXB Đại Học Quốc Gia Hà Nội Đơn
Sách - Rèn kỹ năng xử lí và Chuyên sâu Luyện đề Môn Ngữ văn - Thi Tốt nghiệp THPT Chương trình GDPT 2018 (Cô Trần Thùy Dương) Tác giả: Trần Thùy Dương Nhà xuất
Combo 2 Quyển Tổng Ôn Tập Hóa Hữu Cơ Và Tổng Ôn Tập Hóa Đại Cương Và Phi Kim 1.Tổng Ôn Tập Hóa Hữu Cơ Những năm qua Bộ Giáo dục và Đào
Phương Pháp Trắc Nghiệm - Giải Chi Tiết Các Chuyên Đề Quan Trọng Trong Hoá Học Trong những năm gần đây trong đề thi THPT Quốc gia môn Hóa học xuất hiện khá nhiều các
Tổng Ôn Tập Các Chuyên Đề Tiếng Anh của tác giả Lưu Hoằng Trí được biên soạn theo 6 chuyên đề: - Chuyên đề 1: Ngữ âm - Chuyên đề 2: Từ vựng - Chuyên đề
Kỳ thi THPT quốc gia bộ môn Vật Lí ngày càng khó hơn và nâng cao hơn với kiến thức rộng hơn bao gồm cả lớp 10-11-12. Chính vì lý do đó nhiều học sinh
Tuyển Tập Olympic Toán Học Tại Các Nước Đông Âu Cuốn sách còn giới thiệu thêm một số bài toán trên các tạp chí như tạp chí Komal, một số cuộc thi liên quốc gia như
MÔ TẢ SẢN PHẨM - WHAT MỘT SỐ THÔNG SỐ SẢN PHẨM Thông số Giá trị Tên sản phẩm CC Thần tốc luyện đề 2022 (Chinh phục kì thi tốt nghiệp THPT và thi vào
Tốc Chiến Luyện Đề Đánh Giá Tư Duy (Theo cấu trúc đề thi của Đại học Bách Khoa Hà Nội) 1. Định nghĩa Là cuốn sách giúp học sinh hệ thống kiến thức, kỹ
Thầy K là một thầy giáo dạy violin gốc Ukraina. Thầy đã trải qua một cuộc đời tuổi trẻ sóng gió ở đất nước của thầy với những sự khốc liệt của chiến tranh và
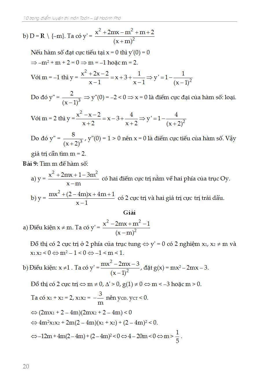
10 Trọng Điểm Luyện Thi THPT Quốc Gia Môn Toán là một trong những cuốn mới nhất của thạc sĩ Lê Hoành Phò được biên soạn theo cấu trúc mới nhất, bám sát đề thi Đại Học
Năng lượng ngày mới: Nước Với Năng lượng ngày mới: Nước, các bạn nhỏ sẽ được tìm hiểu tất tần tật về Nước, tại sao ta cần uống nước, uống bao nhiêu nước mỗi ngày
Năng Lượng Ngày Mới: Thức Ăn Với Năng Lượng Ngày Mới: Thức Ăn, các bạn nhỏ sẽ được tìm hiểu tất tần tật về thức ăn, quá trình hấp thụ và tiêu hóa thức ăn,
Năng Lượng Ngày Mới: Giấc Ngủ Năng lượng ngày mới là bộ sách phù hợp cho các bạn nhỏ từ 4 tuổi. Ở lứa tuổi này, hẳn các bố mẹ đều đau đầu với việc
Nội dung sách bám sát chương trình THPT, nhất là năm lớp 12. Đây thực sự là cuốn sách bổ ích cho các em học sinh trong quá trình học tập cũng như ôn
The Phoenix Project: Dự Án Phượng Hoàng (*** Sách Bản Quyền ***) Công Ty Phát Hành: Alpha Books — Câu chuyện về DevOps và chìa khóa thành công cho mọi doanh nghiệp công nghệ — ------------
22 Đề Thi Trắc Nghiệm Môn Địa Lí Vào tháng 10/2016 Bộ Giáo dục và Đào Tạo đã công bố đề thi minh họa cho kì thi THPT Quốc gia 2017. Và môn Địa
Tổng Ôn Hoá Học Lớp 12 Tập 1 - Dành cho 2K7 1. Nội dung sách: Sách được viết dựa trên chương trình SGK mới với hơn 2000 câu hỏi bài tập 2. Đối tượng
👁️ 453 | ⌚2025-10-02 03:26:04.192
Mưa điểm 10 cho đề thi tiếng Anh THPT quốc gia 2024? #ieltslanggo #hoctienganh #ieltspseaking
Cách ôn môn Toán trong kỳ thi tuyển sinh 10. P/s: kênh này vẫn là kênh IELTS #khongphaibacsi
Phân tích đề minh họa 2025, nên tin gì? Và nên học như thế nào? #flowthinking #maths #learnonshorts
Bí quyết đạt 8+ điểm môn Toán trong kỳ thi tốt nghiệp THPT 2025 #kenhk12
Bao nhiêu điểm đỗ tốt nghiệp | Biquyetdodaihoc #shorts
Cay đắng thí sinh 29,25 điểm vẫn trượt đại học - Tin Tức VTV24

Mưa điểm 10 cho đề thi tiếng Anh THPT quốc gia 2024? #ieltslanggo #hoctienganh #ieltspseaking
Cách ôn môn Toán trong kỳ thi tuyển sinh 10. P/s: kênh này vẫn là kênh IELTS #khongphaibacsi
Phân tích đề minh họa 2025, nên tin gì? Và nên học như thế nào? #flowthinking #maths #learnonshorts
Bí quyết đạt 8+ điểm môn Toán trong kỳ thi tốt nghiệp THPT 2025 #kenhk12
Bao nhiêu điểm đỗ tốt nghiệp | Biquyetdodaihoc #shorts
Cay đắng thí sinh 29,25 điểm vẫn trượt đại học - Tin Tức VTV24

Máy Thu Âm Chuyên Nghiệp V3/A903 Bí Kíp Ghi Âm Nét Cạnh, Sáng Ngời Âm Thanh Bạn đang tìm kiếm một chiếc máy thu âm chuyên nghiệp để ghi lại những bài giảng, cuộc phỏng
Tên sản phẩm: Phễu thuỷ tinh trên của cold drip HG2713 Tiamo Mã sản phẩm: HG6351 Thương hiệu: Tiamo Dung tích: 800ml
The Report Of 機動戦士ガンダム 水星の魔女 Season2 - The Report Of Mobile Suit Gundam - The Witch From Mercury Season 2 (Japanese Edition) - fahasa
- Thiết kế sang trọng, tinh tế - Dung tích cối: 1 lít - Công suất: 450W - Trang bị 10 tính năng đa dụng - Giao diện điều chỉnh tốc độ: núm xoay -
Nutifood Sweden GrowPLUS+ chứa Sữa non 24 giờ có công thức được phát triển bởi Viện nghiên cứu dinh dưỡng Nutifood Thụy Điển (NNRIS), xây dựng nền tảng FDI Đề kháng khỏe, tiêu hóa tốt
Mình đặc biệt yêu những bông hoa sen, mê mẩn bởi mùi thơm tinh khiết biểu tượng của Quốc hoa. Sáng mở mắt ra khắp phòng thơm hương sen thấy lòng nhẹ bẫng. Muốn ở
Đèn thả trang trí nội thất từ lâu đã được sử dụng để chiếu sáng và trang trí cho những lâu đài và cung điện, tạo cho những nơi này thêm nguy nga, lộng lẫy
Đèn sân vườn Philips Deco solar spot BGC050 có những hình dạng RS (tròn nhỏ), RL (tròn lớn), R Spike (đinh tròn), SS (tròn nhỏ), SL (tròn lớn), S Spike (đinh tròn), chạy bằng năng lượng mặt trời rất lý tưởng để thắp sáng ngôi nhà và khu vườn của bạn. Thông minh và phong cách, đèn cắm cỏ Philips Deco dễ dàng lắp đặt để tiếp cận với nguồn ánh sáng mặt trời, tiêu thụ ít điện năng và bền bỉ. Điểm đặc biệt • Dùng để chiếu sáng ngoài trời nơi hạn chế nguồn điện • Cấu hình dễ dàng sử dụng theo nhu cầu người dùng • Tất cả các phụ kiện đi kèm trong cùng 1 hộp, có thể tự lắp đặt • Điện áp thấp, an toàn khi sử dụng Lý do chọn sản phẩm • Hệ thống điện mặt trời độc lập • Điều khiển từ xa theo chế độ • Bảng PV và pin Li-battery được tích hợp sẵn trong bộ đèn Thông số kỹ thuật chính • Có 3 lựa chọn: nhỏ, lớn và cắm cỏ • Quang thông: 200 lumen cho cỡ nhỏ & cắm cỏ, 300 lumen cho cỡ lớn • Màu ánh sáng: 3000K - Ánh sáng vàng • Tuổi thọ: LED > 15,000 giờ - Vỏ: Nhựa ABS - IP65 - CRI >70 • Tấm năng lượng mặt trời: VUÔNG 1.4W; TRÒN 1.1w • Cấu hình với điều khiển từ xa: VUÔNG: chế độ Bật (On), Tắt (Off), 12H, 6H, 3H • Cấu hình với điều khiển từ xa: TRÒN: Bật, Tắt, 12h, 6h, 3h hoạt động #Philips #PhilipslightingVietNam #Nangluongmattroi #Dencamco #Densanvuon
Vòng tay phong thủy nữ charm kiểu 5 đồng tiền Xanh Đậm dây xanh may mắn Đá cẩm thạch tự nhiên xanh đậm đẹp phối dây màu xan có khoen chắc chắn Hợp nữ mệnh
Giáo trình Hoá học Vô cơ này đã được viết và giảng dạy từ những năm 50 của thế kỷ trước cho sinh viên khoa Hoá học trường Đại học Tổng hợp Hà Nội trước
- Vòng Thạch Anh Hồng Mix Hoa Mẫu Đơn + Charm Bạc Ngọc Quý Gemstones VT103 có màu hồng phấn, tươi, mịn, có thể được coi là biểu tượng của trái tim, chủ tình yêu, là
Thông tin cảnh báo: • Không nên sử dụng thiết bị nếu dây điện, phích cắm hoặc những bộ phận khác bị hỏng. • Không sử dụng cối xay hoặc cốc nghiền để bật hoặc
Đặc điểm nổi bật: Màn Ô tô 7 Inch chuẩn HD gắn Taplon, thiết kế kiểu gắn mặt Taplo tiện lợi, dễ dàng lắp đặt, chuẩn HD cho hình ảnh rõ và sắc nét. Đồng hồ hiển thị sắc nét, hỗ trợ 2 cổng kết nối AV1 và AV2, thiết kế thông mình có thể gấp lại khi không sử dụng. Thích hợp với nhiều loại xe, xe container, xe tải, các loại máy công trình máy xúc, máy ủ Máy nông nghiệp, mày cày, máy gặt. Cổng AV1:Bộ giải mã tín hiệu MP5, MP4 hoặc Kết nối với đầu DVD, CD, bạn có thể nghe nhạc xem phim trên màn này. Cổng AV2: Kết nối với Camera lùi, khi bạn cài số lùi hệ thống sẽ tự động chuyển sang quay video phía sau xe để bạn dễ dàng quan sát và lùi xe. sau khi lùi xe xong khi bạn ra số lùi màn sẽ tự động tắt hoặc chuyển sang chế độ AV1 mà bạn đang xem, phim hay nghe ca nhạc. Thông số kỹ thuật: Tên sản phẩm: Bộ Màn hình 7 Inch chuẩn HD gắn Taplo Kích thước màn hình: 7 inch Tỷ lệ khung hình: 16:9/4:3 Camera lùi: 18 led chống nước Dây tín hiệu: 15 mét Điện áp sử dụng: DC 24V Công suất tiêu thụ điện 7W Độ sắc nét: 350:1 Nhiệt độ làm việc: -20°C +50°C Hỗ trợ 2 cổng kết nối AV1, AV2
THÔNG SỐ KỸ THUẬT Chất liệu: Polyester Trọng lượng: 0.52 kg Kích thước: Rộng 22 cm x Sâu 09 cm x Cao 32 cm Sức chứa tối đa: 07 kg Số ngăn: 1 ngăn lớn
Chào mừng bạn đến với Coco Spa - cửa hàng Spa cao cấp tại quận 1, nơi cung cấp những trải nghiệm thư giãn tuyệt vời và phụ hồi sức khỏe toàn diện. Từ những
Chào mừng bạn đến với Coco Spa - cửa hàng Spa cao cấp tại quận 1, nơi cung cấp những trải nghiệm thư giãn tuyệt vời và phụ hồi sức khỏe toàn diện. Từ những
THÔNG TIN CHI TIẾT CỦA SẢN PHẨM : Kích thước (Dài x Rộng x Cao) : 26 x 14 x 31 cm. Màu sắc : Đen Chất liệu : Da PU cao cấp chống thấm
- Thiết kế mỏng gọn, dễ dàng mang theo hoặc cất trong balo - Công nghệ CornerArmor độc quyền – chống sốc hiệu quả ở bốn góc - Lớp đệm dày chống va đập, bên trong lót mềm chống trầy xước - Chất liệu vải polyester cao cấp – chống nước nhẹ, bền bỉ theo thời gian - Dây kéo YKK bền, mượt – đảm bảo an toàn và tăng tuổi thọ sử dụng - Ngăn phụ rộng rãi – chứa sạc, chuột, dây cáp và phụ kiện nhỏ tiện lợi - Trọng lượng nhẹ – dễ mang theo trong mọi hành trình - Phong cách tối giản, hiện đại – phù hợp cho làm việc, học tập, di chuyển - Thương hiệu Tomtoc uy tín – đạt chứng nhận bảo vệ tiêu chuẩn quân đội MIL-STD-810G LƯU Ý KHI MUA HÀNG Cảm ơn quý khách đã quan tâm đến sản phẩm bên
Vòng tay đá Hổ Phách Lu Kiểu SỊN tự nhiên Rẻ Đẹp Màu Vàng Anh Đậm nhạt size 6mm Nữ người lớn và bé nhỏ đeo rất xinh đẹp sang tốt sức khỏe không đá
Vòng Cẩm Thạch Đỏ đẹp A 58mm x cọng 8mm Màu đỏ tươi sáng bóng mượt đỏ là màu chiến thắng chuẩn hợp nữ mạng hỏa mạng thổ Nữ nặng 55kg - 68kg đeo đẹp